A penicillinek és kefalosporinok bioszintézise már a kezdettől fogva izgatta a szakemberek fantáziáját. Az egyre gyűlő mozaikdarabok ellenére sokáig nem állt össze a kép, míg végül a 80-as években elsősorban Baldwin és mtsai nyomán derült fény a bioszintézis részleteire. A következőkben részletesen is bemutatjuk a két legjobban feltárt család, penicillinek és kefalosporinok, valamint a klavulánsav kialakulásának legfontosabb lépését, a biciklikus gyűrűrendszer kialakulását.
Már a penicillin és kefalosporin kutatás korai szakaszában, az N-penicillin, az N-izopenicillin és C-kefalosporin összehasonlításával felmerült, hogy e vegyületek bioszintézisének közös lehet az alapja. Az a tény, hogy a penicillinek fermentációjánál prekurzorsav hiányában a 6-APS képződés mellett megnő az N-izopenicillin koncentrációja is, arra utalt, hogy ez is a bioszintézis köztiterméke. Arnstein és Morris 1960-ban fedezte fel, hogy a radiojelzett L-valint, L-ciszteint és L-α-amino-adipinsavat a P. chrysogenum micéliumának sejtmentes extraktja egy intracelluláris tripeptiddé alakítja, amit sikerült a fermentléből is izolálni, majd később a C. acremonium és a Streptomycesek fermentlevében is detektálták. A 70-es évek elején a C. acremoniumból nyert sejtmentes enzimekkel pedig sikerült a jelzett peptidet N-penicillinné alakítani. Ezt az ACV-szintáz enzim által készített L-α-amino-adipoil-L-ciszteinil-D-valint azóta Arnstein-tripeptidnek vagy röviden LLD-ACV-nek nevezik. Az L-valin inverziója már az enzimhez kötődve történik, a D-valin nem szubsztrátja az enzimnek.

A bioszintézis következő kulcslépése a kettős gyűrűrendszer, az N-izopenicillin kialakulása. Ez a folyamat sokáig ismeretlen volt, mivel semmi köztes terméket nem sikerült kimutatni. Igen sok spekuláció látott napvilágot, hogy a β-laktám gyűrű alakul-e ki elsőnek, vagy pedig egy hetes gyűrű kialakulásával indul-e a folyamat, s mindkét elképzelés alapján jónéhány biomimetikus szintézist próbáltak megvalósítani, kevés sikerrel.
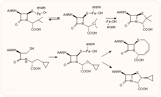
Baldwin és csoportja a 80-as évek közepén több penicillin termelő törzsből is izolálta az N-izopenicillin-szintáz enzimet (IPNS), ami egy nem-hem formában vasat tartalmazó oxidáz enzim. Gén rekombinációs technikával E. coli-ba átvéve a megfelelő géneket, nagy mennyiségben tudták az enzimet előállítani és vizsgálni. A 366 aminosavat tartalmazó dehidrogenáz jellegű enzim működéséhez Fe2+, O2 és aszkorbinsav szükséges. Az enzim szubsztrátspecifitása szerencsére nem túl erős, így a pontos mechanizmus felderítése végett az ACV tripeptidnek igen sok, a ciszteinen és valinon módosított kémiai analógját és jelzett formáját állították elő. Az enzimkomplex pontos szerkezetét Hajdú és csoportja határozták meg az 1990-es években. Ennek az óriási munkának az összefoglalását jelenti az alábbi ábra:

Az enzim aktív centrumát részletezve, "kiinduló állásban" az ábra közepén láthatjuk. A gyűrűzáródás során sztöchiometriailag 1 oxigén molekula vízzé való redukciója révén 4 hidrogén atom távozik. A két ciklizáció gyökös mechanizmusú, aminek egyik bizonyítéka, hogy ha az ACV ciklopropil analógját használják szubsztrátként, akkor a képződő "ciklopropil karbinil" köztitermékben a hármas gyűrű igen könnyen felnyílik, és a 8 atomos analóg keletkezik:

A bioszintézis ezután kétfelé válik. Az összes kefalosporin bioszintézisének következő lépése az N-penicillin gyűrűbővülése, átrendeződése deacetoxi C-kefalosporinná, majd ezt követi a hidroxileződés deacetil C-kefalosporinná. Prokariotákban, mint a Streptomycesek, ezt két enzim végzi, a deacetoxi C-kefalosporin szintetáz (DAOCS) és a deacetil C-kefalosporin szintetáz (DACS), míg eukariotákban (C. acremonium), ezt egy bifunkciós enzim, a DAOCS/DACS szintetáz vagy más néven expandáz-hidroxiláz (REX) végzi. A C. acremonium REX enzimét sikerült rekombináns technikávál nagyobb mennyiségben is előállítani. Az enzim felépítése hasonló az IPNS-hez, működése mindkét lépéséhez sztöchiometrikusan egy-egy molekula oxigén és α-ketoglutársav (koszubsztrát), valamint Fe2+ ion és aszkorbinsav (kofaktor) szükséges. A DAOCS enzimkomplex pontos szerkezetét Hajdú és csoportja derítették fel röntgen-diffrakcióval: a natív enzim trimert alkot, míg a ketoglutársavval és vas(II) ionnal anaerob körülmények között alkotott komplex mono?mer.Az enzimnek a N-izopenicillin nem szubsztrátja, ezt a sejtben előzőleg egy epimeráz enzim a D-α-amino-adipoil oldalláncú N-penicillinné alakítja.

Mint a fenti ábrán látható, a javasolt mechanizmusban először az enzimhez kötött Fe(II) az oxigénnel és ketoglutársavval reagálva oxo formává alakul, s ez reagál az N-izopenicillinnel. A gyenge Fe-C kötés ezután homolitikusan hasad, a keletkezett gyök valószínűleg egy ciklikus intermedieren keresztül kefemmé rendeződik át.

Ezt alátámasztja az is, hogy a penicillinek 2β-metil csoportján kémiailag létrehozott szabad gyök szintén gyorsan átrendeződik. Királisan jelzett penicillint alkalmazva megállapították, hogy a penicillin molekula β-metil csoportja racemizáció közben épül be a kefem gyűrűbe. Látható, hogy az enzim működés szempontjából meglehetősen hasonló az IPNS enzimez, ez közös evolúciós eredetre utal.

A REX enzim újabb támadása a 3-metil csoporton vezet a deacetil-kefalosporin képződéséhez. Mint a 3-metil csoporton izotópokkal jelzett származékok hidroxileződéséből kiderült, a hidroxil csoport bevitele – ellentétben a C-2 atomnál tapasztalt racemizációval –retencióval történik.
A bioszintézis itt újabb elágazáshoz érkezik. A Cephalosporium speciesekben egy acetil-transzferáz enzim alakítja ki a végterméket, a C-kefalosporint. Ugyanakkor az S. caluligerus törzs esetén egy karbamoil-transzferáz kialakítja a C-kefamicin jellemző 3-as oldalláncát.
A klavulánsav bioszintézise felderítésének első lépéseit egyrészt a klavaminsavnak és a proklavaminsavnak a klavulánsavat termelő S. clavuligerus fermentlevéből történő izolálása jelentette, másrészt azt az enzimet is sikerült megtalálni, amely az előbbit az utóbbivá alakítja. Radioaktív jelzett prekurzorokkal megállapították, hogy a β-laktám gyűrűbe glicerin, a molekula másik gyűrűjébe pedig ornitin épül be. A további vizsgálatok ezt pontosították, miszerint az előbbi C3- trikarbonsav ciklusból származik, míg a másik kiinduló anyag az arginin. A bioszintézis eddigi ismereteink szerint a következő ábrán foglalható össze. A klavulánsav bioszintézisének egyik jellemző vonása, hogy itt – ellentétben a penicillinnel – van megfogható monociklikus köztitermék. A bioszintézis korai fázisában a döntő szerepet a klavulánsav szintáz (CAS) végzi, amely nem-hem vasat tartalmaz, és működéséhez minden lépésben egy molekuláris oxigénre és ketoglutársavra van szüksége, hasonlóan a penicillin bioszintézisben megismert IPNS-hez. A ketoglutársav közvetlenül, két ponton koordinálódik a vashoz. A CAS viszont trifunkciós enzim (vagy izoenzimek komplexe), amelynek hidroxiláz és dihidrogenáz funkciója is van. Nem túl szubsztrátspecifikus, így az analóg γ-laktámmal is elvégzi a gyűrűzárást. Rekombináns géntechnikával előállított klavulánsav szintázzal in vitro meg lehetett kapni a guanidino-proklavaminsavat. A proklavaminsav kialakulásához még egy enzim, a proklavaminsav amidino hidroláz (PAH) jelenléte is szükséges. A klavaminsavat követő lépések még nem tisztázottak. Egyrészt, itt válik ketté a bioszintézis aszerint, hogy a törzstől függően klavulánsav vagy pedig a kissé eltérő szerkezetű klavamicinek képződnek.

A klavulánsavvá alakulás során nemcsak aminoxidáz jellegű átalakításra van szükség, hanem két aszimmetriacentrum inverziójára is, ami elvileg egy intramolekuláris elimináció-addició útján is végbemehet. A bioszintézis utolsó előtti vegyületét, a klavulánsavnak megfelelő bomlékony aldehidet, amelynek már megfelelő a konfigurációja, sikerült izolálni.