Természetesen már nagyon régen érdekelte a gyógyszerek készítőit, hogy mi is állhat a hatás mögött. Egyes anyagok hatnak, mások nem, miért? Az alkímia korában is foglakoztatta az akkori (al)kémikusokat például, hogy egyes fémek oldódnak bizonyos savakban, mások pedig nem. E természetes emberi kíváncsiságra az első válaszok a múlt század közepe táján születtek meg. Hasonló kérdések a szerves kémiában is felvetődtek. A múlt század 60-as éveiben a szerves kémia fellegvára Németország volt, elsősorban az akkor kibontakozó festékkémiának köszönhetően. A célirányos kutatások nyomán ekkor születtek meg az olyan fogalmak, mint kromofor, batokróm, auxokróm csoport stb., s ezzel egyúttal lehetővé vált a színes vegyületek előre tervezése, bár az eredmény nem volt mindig garantált, hiszen a színt nem csak a festék szabja meg, hanem a megfestendő anyag is.
Ami a fiziológiailag aktív anyagokat illeti, a legelső szerkezet-hatás összefüggés feltárása a kuraréval kapcsolatos. A kurare a dél-amerikai indiánok által készített rendkívül hatékony nyílméreg, amely a szervezetbe kerülve jellegzetes izombénulásos tünetekkel járó halált okoz; a név maga az "uria" - madár és "eor" - ölni indián szavakból ered. A ragacsos keverék fő hatóanyaga az érdekes szerkezetű, két pozitív centrumot is tartalmazó bisz-izokinolin vázas alkaloid, a d-tubokurarin, s hatására nézve ún. membránstabilizáló vagy depolarizáló izomrelaxáns: a mozgatóidegek idegingerülete az ún. motoros véglemezen adódik át az izmoknak, és akárcsak a többi ganglionnál, az ingerületátvitel kémiai úton acetilkolin által közvetítve tevődik át. A tubokurarin az acetilkolin receptoron való kötődését kompetitív úton gátolja, s ezzel a harántcsíkolt izmokat bénítja (neuromuszkuláris blokkolás). A rekeszizom bénulásával áll be a fulladásos halál. A kuraréra Humboldt figyelt fel 1805-ben és C. Bernard bizonyította be 1856-ban, hogy a támadáspont a motoros végkészülék. Tudománytörténetileg ez a dátum is jelentős, mivel ez volt az első egzakt experimentális farmakológiai analízis. A tubokurarin szerkezetét akkor még természetesen nem ismerték, azonban analitikai módszerekkel már ki tudták mutatni a kvaterner ammónium jelleget. 1868-ban Edinburghban T. R. Fraser és A. Crum-Brown ebből a tényből kiindulva egyéb kvaterner ammónium származékok neuromuszkuláris blokkoló hatását kezdte vizsgálni, s azt tapasztalták, hogy a tetraetil-ammónium jodid is bír ilyen hatással. Hasonló származékokat vizsgálva rájöttek, hogy az etilcsoportokat fokozatosan metilre cserélve a hatás fokozódik, a tetrametilammónium jodid mintegy 125-ször toxikusabb. Ez a két skót tudós volt az első, akik egzakt módon bizonyították a kémiai szerkezet és a hatás közötti összefüggést.
Ezek után az események kezdtek felgyorsulni és hamarosan következtek a további felismerések: 1869-ben Richardson vette észre, hogy az alifás alkoholok hatása a molekulatömegük függvénye. Ma ezt úgy fogalmazzuk meg, hogy az etil-, n-propil-, stb alkoholoknál a szénatomszám eggyel való növelésével a kábító hatás kb. háromszorosára nő.
1878-ban Kühne vezette be az "enzim" fogalmát a fermentációval kapcsolatban. Ugyanebben az évben Langley tanulmányozta az atropin és a pilokarpin antagonista hatását. E két alkaloid ellentétes módon hat a vegetatív idegrendszerre, az atropin paraszimpatikus bénító, a másik izgató. Langley kijelentette, hogy:
"...kell lennie valamiféle receptor anyagnak, amellyel mind a pilokarpin, mind az atropin képes kapcsolatot kialakítani... valami olyan szabály alapján, amely a relatív tömegekkel és a receptor anyag iránti affinitással van kapcsolatban".
Az atropin és főleg a pilokarpin túl erős hatású ahhoz, hogy általános belső felhasználású gyógyszer lehessen, külsőleg azonban alkalmazzák őket (pl. szemészetben pupilla tágítás ill. szűkítés). Az atropint belsőleg csak vészhelyzetben, bizonyos mérgezéseknél antidotumként alkalmazzák (pl. a korábban említett fizosztigmin mérgezés esetén). Mindkettő viszont kiindulási vegyülete volt az újabb hasonló hatású gyógyszerek előállításának.
Körülbelül ezidőtájt kezdett Paul Ehrlich is a gyógyszerek receptor elméletével foglalkozni. Ehrlich, akit a modern kemoterápia megalapítójának vagy atyjának szoktak nevezni, 1909-ben így írt a receptorokról:
A protoplazma bizonyos atomcsoportokkal van felszerelve, amelyek elsődleges szerepe, hogy egyes, a sejt életéhez fontos tápanyagokat magához kössön. A szerves kémiai nomenklaturával összhangban ezeket a csoportokat oldalláncoknak nevezhetjük. Amiként ezek szerepe az, hogy a tápanyagokhoz kapcsolódjanak, úgy a tápanyagoknak is megfelelő atomi szerkezettel kell rendelkezniük, s ekként minden csoport a neki megfelelővel kombinálódik. A két reaktáns megfelelő csoportjainak kapcsolódása specifikus. A csoportok úgy felelnek meg egymásnak pl. mint a csavar és csavaranya (Pasteur), vagy mint a zár és a kulcs (Emil Fischer). A toxinoknak haptofór (kötő) csoportjai vannak, ezek megfelelnek a tápanyagok hasonló csoportjainak. Ezek a haptofor csoportok segítik elő a protoplazmához való kötődést. A toxinoknak ezen túlmenően van egy ún. toxofór csoportja is, ez a működő sejt szempontjából nemcsak haszontalan, hanem egyenesen káros is..."
Ehrlich úgy gondolta, hogy az atropin és pilokarpin esetén a horgonyzó csoportok hasonlóak, az ellentétes fiziológiai hatásért a toxofórok felelősek.
Ma már tudjuk, hogy a receptorok általában a sejtmembránba ágyazott (lipo/gliko)proteinek, amelyekhez ha a külső oldalon hozzákötődik a biológiailag aktív ligand molekula, a belső oldalon egy kaszkád jellegű kémiai válaszláncolat indul el; erről a későbbiekben bővebben is lesz szó. E primer kötődési folyamat minél pontosabb megismerése a sikeres gyógyszertervezés egyik fontos feltétele, mint ezt 1981-ben megfogalmazták:
A gyógyszertervezés módszerei sokkal hatékonyabbak lennének, ha a receptorok és az aktív anyagok kölcsönhatását molekulárisszinten is pontosan ismernénk. Ezt fel lehetne használni ahhoz, hogy olyan pontosan definiált térszerkezetű molekulákat tervezzünk, amelyekben a farmakofor csoportok orientációja optimális kölcsönhatást biztosít a receptorral. A receptor ilyen háromdimenziós komplementer vegyületei nagyobb hatást, nagyobb specifitást mutatnának, mint a flexibilis konformációjú molekulák. Ezt az ideális gyógyszertervezést közelíti pl. amikor szilárd, kristályosított enzim szubsztrát komplex röntgendiffrakcióval meghatározott pontos szerkezetéből indulnak ki...
Jelenleg mintegy 4000 kémiai anyag van gyógyszerként használatban, ehhez jön még kb. 2000 segédanyag; 2500-5000-re teszik az élelmiszeradalékok és 1500-ra a növényvédőszerek számát. Az adatok természetesen függnek a különböző forrásoktól, de a nagyságrend és tendencia jól érzékelhető. Az alábbi ábra 1985-ös WHO adatok alapján mutatja a gyógyszereket eredetük szerint és látható, hogy a gyógyszereknek mintegy a fele szintetikus.

Miként már az előzőekben is jónéhány példa akadt rá, igen sok növényi hatóanyagot alkalmaznak gyógyszerként is, ezekből mutat be az alábbi táblázat egy csokorravalót. Egyesek azonban mára már a fejlett országokban nem engedélyezettek, másoknak pedig jobb vagy kevésbé mérges félszintetikus változatait használják:
| Acetildigoxin | Ajmalin | Allantoina |
| Andrografolid | Anizodamin | Artemisinin |
| Arekolin | Atropin | Azulena |
| Berberin | Borneola | Bromelain |
| Dantron | Dezlanozid | Deszerpidin |
| Digitoxin, digoxin | Dopamina | Efedrina |
| Emetin | Ellipticin | - - -b |
| Fizosztigmina | Galantamina | Gitalin |
| Hidrasztin | Hioszciamin | Johimbin |
| Kámforb | Kawain | Kellin |
| Kimopapain | Kinin | Kinidin |
| Koffeina | Kokain | Kolchicin |
| Kurkumin | Lanatozid A, B, C | Lobelin |
| Mentola | Metil-szaliciláta | Morfin |
| Nikotin | Norpszeudoefedrina | - - - |
| Noszkapin (narkotin) | Ouabain | Papain |
| Papaverina | Pikrotoxin | Pilokarpin |
| Pinitol | Podofillotoxin | Protoveratrin A és B |
| Rescinnamin | Reszerpin | Spartein |
| Szalicin | Szcillarin A és B | Szennozid A és B |
| Szilimarin | Szkopolamin | Sztrichnin |
| Tetrahidrokannabinol | Teobromina | Teofillina |
| Timola | D-tubokurarin | Vinkrisztin és vinblasztin |
| Xantotoxin |
a - Totálszintézissel (is) készítik
b - Szemiszintetikus
A klinikai használatban levő gyógyszerek legnagyobb részét nem "felfedezték". Amit felfedeznek, az többnyire egy kiindulási vagy vezérvegyület (lead compound), prototípus, ami már rendelkezik a kívánt hatással, de ezt fokozni, szelektálni kell, a nem kívánt mellékhatásokat elnyomni, a farmakodinamikát javítani, stb., így ennek megfelelően módosítják a kiindulási szerkezetet. A klasszikus "felfedezésre" négy példát említhetünk, amikoris a felfedezett gyógyszert módosítás nélkül használják ma is, de persze ezek előbb-utóbb újabb kutatások kiindulási vegyületei lettek.
Az előzetes kiindulási anyag nélküli valódi, véletlenszerű felfedezésre több példát is láthatunk alább. Mindegyik kicsit másképp véletlenszerű, mint a többi
Az első példa a penicillin jól ismert felfedezése. 1928-ban Alexander Fleming vette észre, hogy egy Staphylococcus aureus tenyészetbe véletlenül bekerült és ott növekedésnek indult zöld penész körül a baktériumtenyészet elhalt, feloldódott. A felfedezés nemcsak Fleming megfigyelőkészségét dicséri, hanem mint utólagos vizsgálatokkal kiderült, több egyéb véletlen szerencsés egybeesésének is köszönhető (penicillint jól termelő Penicillium törzzsel való inokuláció, a kritikus petricsésze véletlenül az asztalon maradt, megfelelő időjárás viszonyok, stb.) Mint ismeretes, Fleming maga nem tudta a bomlékony hatóanyagot az akkori technikával izolálni, a szerkezetfelderítés és gyógyszerré fejlesztés Florey, Robinson és még sokan mások érdeméhez fűződik 1940 táján. Az eredeti természetes G-penicillin még ma is használatban van.
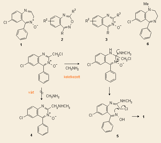
A benzodiazepin származékokhoz tartozó első nyugtatószer a Librium (Elenium, chlordiazepoxyd) volt. Egy nyugtatószereket kereső program során Leo Sternbach (Hoffman La Roche, USA) és csoportja 1955 táján benzheptoxadiazinokat (2) készített, azonban egyes esetekben kinazolin 3-oxidok (3) képződtek. Egyik csoport sem bizonyult farmakológiailag aktívnak. Végül az egész témát 1957-ben abbahagyták, és a még néhány maradék vegyületet, köztük a 4-nek vélt származékot, elküldték farmakológiai tesztelésre. 4 figyelemreméltó szedatív hatást mutatott több különböző vizsgálatban is. A továbbiakban kiderült, hogy a vegyület szerkezete nem is a vártnak, hanem egy váratlan átrendeződési reakció miatt 1-nek felel meg. A további kutatások vezettek aztán a benzodiazepin típusú pszichofarmakonok kifejlesztéséhez. A mindennapi szabadforgalmazású enyhe hatású származékok közül talán a diazepam (Valium, Seduxen) (6) a leginkább ismert, azonban nagyon sok egyéb származékot használnak intézeti kezelés során, súlyosabb depressziók, pszichózisok esetén. A benzodiazepin típusú altatók szorították ki a barbiturátokat a használatból.
Az alkoholelvonókúrák gyógyszere a diszulfiram (Antethyl, Antabus), kémiailag tetraetil-tiuramdiszulfid ((C2H5)2N-CS-S-)2, amely hatását azáltal fejti ki, hogy az etilalkohol metabolizmusa során bénítja az első lépésben képződő acetaldehid továbbalakítását végző enzimet. A felszaporodó acetaldehid, amely erős sejtméreg, komoly rosszullétet okoz. A dolog tulajdonképpen veszélyes, ezért alkoholelvonókúrát csak intézetben lehet végezni, ahol szükség esetén be tudnak avatkozni. A diszulfiram maga régóta ismert volt egyrészt mint kéntartalmú gumivulkanizáló segédanyag, másrészt féregűző hatása miatt a gyógyászatban is használták. Két dán gyógyszerész (Hald és Jacobson) vette észre egy önkísérlet után saját magán, hogy diszulfiram bevétele után rosszul lettek egy koktélpartin. A már célzott önkísérletek során megállapították, hogy a vegyület megváltoztatja, drasztikusan lecsökkenti az alkoholtűrőképességüket.
Az összes mesterséges édesítőszernél véletlenül vették észre az édes ízt. (Mosatlan kézzel ettek szendvicset a laboratóriumban, kávéztak, stb.)
Magyar vonatkozású véletlen vezetett a fenolftalein hashajtó hatásának a felfedezéséhez. A budapesti egyetem Gyógyszertani Intézetében Vámossy Zoltán professzornak feltűnt, hogy a laboránsa idült hasmenésben szenved. Mint később kiderült, a laboráns rendszeresen dézsmálta a titráláshoz használt alkoholos fenolftalein oldatot.