Tamás E. Gunda, László Tamás and Szabolcs Sályi:
Reactions of Cephalosporin Sulphones 1. Rearrangement of the β-Lactam Ring to a Triazole Derivative.
Tetrahedron Letters, 39, 3061 (1998)

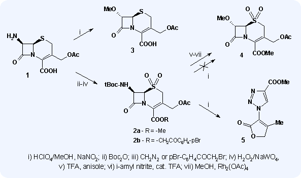
Abstract: The 7β-amino-cephalosporin sulphones, generated in situ from the appropriate 7β-tBoc-amino derivative and diazotized in a one-pot reaction in aq. HClO4 - MeOH - NaNO2, rearrange exclusively to the triazoles 5 in a multistep reaction.